Какое расстояние прошел турист за все время если шел 3
7. Найдите четыре числа, составляю щие геометрическую прогрессию, в кото рой сумма крайних членов равна 27, про изведение средних равно 72.
8. Бизнесмен Оладьев получил в 2000 году прибыль в размере 1100000 рублей. Каждый следующий год его прибыль увеличивалась на 7% по сравнению с предыдущим годом. Сколько рублей заработал Оладьев за 2002 год?
9. Компания "Альфа" начала инвестировать средства в перспективную отрасль в 2001 году, имея капитал в размере 3500 долларов. Каждый год, начиная с 2002 года, она получала прибыль, которая составляла 100% от капитала предыдущего года. А компания "Бета" начала инвестировать средства в другую отрасль в 2004 году, имея капитал в размере 4500 долларов, и, начиная с 2005 года, ежегодно получала прибыль, составляющую 300% от капитала предыдущего года. На сколько долларов капитал одной из компаний был больше капитала другой к концу 2008 года, если прибыль из оборота не изымалась?
1. В одной стране в обращении находилось 1 000 000 долларов, 20% из которых были фальшивыми. Некая криминальная структура стала ввозить в страну по 100000 долларов в месяц, 10% из которых были фальшивыми. В это же время другая структура стала вывозить из страны 50 000 долларов ежемесячно, из которых 30% оказались фальшивыми. Через сколько месяцев содержание фальшивых долларов в стране составит 5%?
Решение
2. В банк был положен вклад под банковский процент 10%. Через год хозяин вклада снял со счета 2000 рублей, а еще через год снова внес 2000 рублей. Однако, вследствие этих действий через три года со времени первоначального вложения вклада он получил сумму меньше запланированной (если бы не было промежуточных операций со вкладом). На сколько рублей меньше запланированной суммы получил в итоге вкладчик?
Решение
3. Фермер получил кредит в банке под определенный процент годовых. Через год фермер в счет погашения кредита вернул в банк от всей суммы, которую он должен был банку к этому времени, а еще через год в счет полного погашения кредита он внес в банк сумму на 21% превышающую величину полученного кредита. Каков процент годовых по кредиту в данном банке?
Решение
4. 1 марта 2010 года Аркадий взял в банке кредит под 10% годовых. Схема выплаты кредита следующая: 1 марта каждого следующего года банк начисляет проценты на оставшуюся сумму долга (то есть увеличивает долг на 10%), затем Аркадий переводит в банк платеж. Весь долг Аркадий выплатил за 3 платежа, причем второй платеж оказался в два раза больше первого, а третий – в три раза больше первого. Сколько рублей взял в кредит Аркадий, если за три года он выплатил банку 2 395 800 рублей?
Решение
5. В июле планируется взять кредит в банке на некоторую сумму. Условия его возврата таковы:
— каждый январь долг возрастает на 31% по сравнению с концом предыдущего года;
— с февраля по июнь каждого года необходимо выплатить часть долга, равную 69690821 рубль.
Сколько рублей было взято в банке, если известно, что он был полностью погашен тремя равными платежами ( то есть за три года)?
6. 1 января 2015 года Тарас Павлович взял в банке 1,1 млн рублей в кредит. Схема выплаты кредита следующая — 1 числа каждого следующего месяца банк начисляет 2 процента на оставшуюся сумму долга (то есть увеличивает долг на 2%), затем Тарас Павлович переводит в банк платёж. На какое минимальное количество месяцев Тарас Павлович может взять кредит, чтобы ежемесячные выплаты были не более 220 тыс. рублей?
7. 1 января 2015 года Павел Витальевич взял в банке 1 млн рублей в кредит. Схема выплаты кредита следующая: 1 числа каждого следующего месяца банк начисляет 1 процент на оставшуюся сумму долга (то есть увеличивает долг на 1%), затем Павел Витальевич переводит в банк платёж. НА какое минимальное количество месяцев Павел Витальевич может взять кредит, чтобы ежемесячные выплаты были не более 125 тыс. рублей?
8. 31 декабря 2014 года Валерий взял в банке 1 млн рублей в кредит. Схема выплаты кредита следующая: 31 декабря каждого следующего года банк начисляет проценты на оставшуюся сумму долга (то есть увеличивает долг на определённое количество процентов), затем Валерий переводит очередной транш. Валерий выплатил кредит за два транша, переводя в первый раз 660 тыс рублей, во второй — 484 тыс. рублей. Под какой процент банк выдал кредит Валерию?
9. 31 декабря 2014 года Алексей взял в банке 6 902 000 рублей в кредит под 12,5% годовых. Схема выплат кредита следующая — 31 декабря каждого следующего года банк начисляет проценты на оставшуюся сумму долга (то есть увеличивает долг на 12,5%), затем Алексей переводит в банк x рублей. Какой должна быть сумма x, чтобы Алексей выплатил долг четырьмя равными платежами (то есть за четыре года)?
10. 31 декабря 2014 года Дмитрий взял в банке 4 290 000 рублей в кредит под 14,5% годовых. Схема выплаты кредита следующая — 31 декабря каждого следующего года банк начисляет проценты на оставшуюся сумму долга (то есть увеличивает долг на 14,5%), затем Дмитрий переводит в банк X рублей. Какой должна быть сумма X, чтобы Дмитрий выплатил долг двумя равными платежами (то есть за два года)?
11. 31 декабря 2013 года Сергей взял в банке 9 930 000 рублей в кредит под 10% годовых. Схема выплаты кредита следующая: 31 декабря каждого следующего года банк начисляет проценты на оставшуюся сумму долга (то есть увеличивает долг на 10%), затем Сергей переводит в банк определённую сумму ежегодного платежа. Какой должна быть сумма ежегодного платежа, чтобы Сергей выплатил долг тремя равными ежегодными платежами?
12. Оля хочет взять в кредит 100 000 рублей. Погашение кредита происходит раз в год равными суммами (кроме, может быть, последней) после начисления процентов. Ставка процента 10 % годовых. На какое минимальное количество лет может Оля взять кредит, чтобы ежегодные выплаты были не более 24000 рублей?
13. Савелий хочет взять в кредит 1,4 млн рублей. Погашение кредита происходит раз в год равными суммами (кроме, может быть, последней) после начисления процентов. Ставка процента 10% годовых. На какое минимальное количество лет может Савелий взять кредит, чтобы ежегодные выплаты были не более 330 тысяч рублей?
S = v · t,
где S – путь, t – время, v – скорость.
Путь равен произведению скорости на время движения.
Если известны расстояние и время, то скорость находится по формуле: v = S : t.
1. Движение навстречу друг другу

2. Движение в противоположные стороны

3. Движение в одном направлении
Если два тела, находящиеся перед началом движения на расстоянии S, движутся в одном направлении со скоростями v1 и v2, где v2 > v1, то возможны два случая:


Движение по течению и против течения
Скорость тела, движущегося по течению реки, равна сумме собственной скорости тела (скорость в стоячей воде) и скорости течения реки.
Скорость тела, движущегося против течения реки, равна разности собственной скорости тела и скорости течения реки.
Если в условии задачи речь идет о движении плотов, то этим хотят сказать, что тело движется со скоростью течения реки (собственная скорость плота равна нулю).
УПРАЖНЕНИЯ
1. Пройденный путь s, его скорость v и время движения t связаны соотношением s = vt. Найдите скорость движения, если:
а) за 5 ч путь составил 45 км;
б) за 3 ч путь составил 21 км.
Решение:
а) v=s:t; v=45:5=15 (км/ч)
Ответ: 15 км/ч
2. а) Туристы за 1 ч преодолевают 3 км. Сколько километров прошли туристы за половину часа? Выберите правильный ответ:
1) 1 км; 2) 1,5 км; 3) 3 км.
б) Туристы за треть часа проплывают на байдарках 2 км. Сколько километров туристы преодолевают за 1 ч? Выберите правильный ответ:
1)12 км; 2) 3 км; 3) 6 км.
Решение:
а) Скорость движения v=s:t, v=3:1=3 км/ч
Время в пути 0,5 ч
Тогда туристы прошли S = v · t = 3*0,5=1,5 км
Ответ: 2)1,5 км
3. а) Катер шел 3 ч со скоростью 16,2 км/ч и 7 ч — со скоростью 17,5 км/ч. Определите его среднюю скорость.
б) Велосипедист ехал 2 ч со скоростью 11,8 км/ч и 3 ч — со скоростью 11,3 км/ч. Определите его среднюю скорость.
4. а) Велосипедист думал добраться с дачи в город за 3 ч. Однако он увеличил скорость на 1,5 км/ч и поэтому прибыл в город через 2 ч. Чему равно расстояние от дачи до города?
б) Расстояние между городами автомобиль преодолел за 2 ч, а автобус — за 3 ч, так как скорость автомобиля была на 25 км/ч больше скорости автобуса. Найдите расстояние между городами.
Решение:
а) Пусть х - первоначальная скорость велосипедиста, тогда расстояние от города до дачи равно 3х, при первоначальной скорости и, расстояние равно (х+1,5)*2 при новой скорости. Так как он проехал одно и то же расстояние, то 3х=(х+1,5)*2.
Решим уравнение:
3х=(х+1,5)*2;
3х=2х+3;
х=3 (км/ч) - первоначальная скорость.
S=3*3=9 (км) - расстояние от города до дачи
Ответ: 9 км
5. а) Катер прошел 150 км против течения реки за 5 ч. Сколько времени он затратит на обратный путь, если скорость течения реки 3 км/ч?
б) Яхта прошла 280 км по течению реки за 7 ч. Сколько времени она затратит на обратный путь, если скорость течения реки 4 км/ч?
Решение:
а) 1) 150:5=30(км/ч) - скорость катера против течения реки
2) 30+ 3=33 (км/ч) - собственная скорость катера
3) 33+3=36 (км/ч) - скорость катера по течению
4) 150:36=4 1/6 (ч) - время на обратный путь
Ответ: 4 1/6 ч
6. а) Две группы туристов одновременно выходят на шоссе и движутся в противоположных направлениях. Скорость первой группы 3 км/ч, а скорость второй группы 1,75 м/с. Определите расстояние между ними через 20 мин, если в момент выхода групп на шоссе расстояние между ними было 900 м.
б) Велосипедист и мотоциклист одновременно выезжают на шоссе и движутся в противоположных направлениях. Скорость велосипедиста 8 км/ч, а скорость мотоциклиста 15 м/с. Определите расстояние между ними через 10 мин, если в момент выезда на шоссе расстояние между ними было 700 м.
Решение:
а) 1) 1,75 м/с = 1,75 * 3600 : 1000= 6,3 км/ч
2) 20 мин = 1/3 ч
3) 900 м= 0,9 км
4) (3+6,3)* 1/3 = 3,1 (км) - прошли вместе за 20 минут
5) 3,1+0,9=4 (км) - расстояние между ними за 20 минут
Ответ: 4 км
7. а) Два автомобиля одновременно выезжают навстречу друг другу. Скорость первого автомобиля равна 18 м/с, а второго — 90 км/ч. Определите расстояние между ними через 20 мин, если в момент выезда на шоссе расстояние между автомобилями было 110 км.
б) Велосипедист и мотоциклист одновременно выезжают на шоссе навстречу друг другу. Скорость велосипедиста 6 м/с, а скорость мотоциклиста 40,5 км/ч. Определите расстояние между ними через 10 мин, если в момент выезда на шоссе расстояние между ними было 15 000 м.
Решение:
а) 1) 18 м/с= 18*3600:100=64,8 км/ч
2) 20 мин = 1/3 ч
3) (64,8+90)* 1/3=51,6 (км) - проехали вместе за 20 мин
4) 110-51,6=58,4 (км) - расстояние между ними через 20 мин
Ответ: 58,4 км
8. а) Расстояние, равное 124 км, теплоход прошел по течению за 5 ч, а против течения — за 8 ч. Найдите собственную скорость теплохода и скорость течения реки.
б) Расстояние, равное 120 км, яхта прошла против течения за 5 ч, а по течению — за 3 ч. Найдите собственную скорость яхты и скорость течения реки.
Решение:
а) Пусть х - собственная скорость теплохода, а - скорость течения.
Скорость по течению (х+а), скорость против течения (х-а).
Составим уравнения и решим систему:

Ответ: 20,15 км/ч; 4,65 км/ч
9. а) Велосипедист проехал 15 км от города до дачи. Возвращаясь обратно, он снизил скорость на 3 км/ч. На весь путь туда и обратно велосипедист затратил 2 ч 30 мин. Найдите скорость, с которой велосипедист ехал из города до дачи.
б) Пешеход должен был пройти 5 км за определенное время, но он задержался с выходом на 15 минут. Поэтому, чтобы прийти вовремя, он шел со скоростью, превышающей намеченную скорость на 1 км/ч. С какой скоростью шел пешеход?
Решение:
а) Пусть х - первоначальная скорость. Время, затраченное на проезд от города до дачи равно 15:х ч. Время, затраченное на проезд от дачи в город равно 15:(х-3) ч.
На весь путь затрачено 2,5 часа. Составим уравнение:

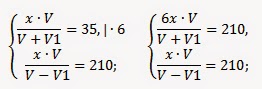
10. а) Расстояние АВ пассажирский поезд проходит за 3 ч, а электропоезд — за 4 ч. Из пункта А в пункт В отправился пассажирский поезд и одновременно из пункта В в пункт А — электропоезд. Через какое время после встречи поезд прибудет в пункт А?
б) Расстояние АВ пассажирский поезд проходит за 5 ч, а электропоезд — за 7 ч. Из пункта А в пункт В отправился пассажирский поезд и одновременно из пункта В в пункт А электропоезд. Через какое время после встречи электропоезд прибудет в пункт А?
а) Решение:
Пусть V1 - скорость пассажирского поезда, V2 - скорость электропоезда.
S - расстояние АВ. V1=S:3, V2=S:4.
Так как поезда двигались навстречу друг другу, то вместе до встречи они прошли путь S=(V1+V2)*t, где t - время до встречи.
1) t=S:(V1+V2); t=S:(S:3+S:4)=12/7 (ч) - время до встречи.
2) 4-12/7=2 2/7 (ч) - время, через которое после встречи электропоезд прибудет в пункт А.
Ответ: 2 2/7 часа
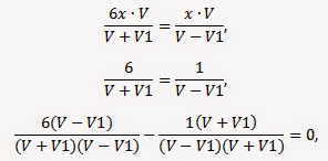
11. а) Мышь двигалась вниз по движущемуся вниз транспортеру и пробежала 35 секций. Затем она побежала вверх по тому же транспортеру с той же скоростью относительно его и пробежала 210 секций. Сколько секций пробежит мышь, спускаясь по неподвижному транспортеру?
б) Мышь двигалась вверх по движущемуся вниз транспортеру и пробежала 120 секций. Затем она двигалась вниз по тому же транспортеру с той же скоростью относительно его и насчитала 40 секций. Сколько секций пробежит мышь, спускаясь по неподвижному транспортеру?
а) Решение:
Пусть х - количество секций, V - скорость мыши, V1 - скорость транспортера. Если мышь движется вниз, то скорость равна V+V1 и время равно t1=x:(V+V1).
Если мышь движется вверх, то скорость равна V-V1 и время равно t2=x:(V-V1).
Путь, пройденный при движении вниз: S=t1*V =x:(V+V1)*V=35.
Путь, пройденный при движении вверх: S=t2*V =x:(V-V1)*V=210.



12. а) Две мухи движутся по окружности. Если они движутся в разных направлениях, то встречаются через каждые 8 с. При движении в одном направлении одна муха догоняет другую через каждые 24 с. Найдите, за сколько секунд каждая муха проходит окружность.
б) Две бабочки движутся по окружности. Если они движутся в разных направлениях, то встречаются через каждые 16 с. При движении в одном направлении одна бабочка догоняет другую через каждые 64 с. Найдите, за сколько секунд каждая бабочка проходит окружность.
а) Пусть по окружности движутся две мухи А и В. х - время прохождения окружности мухой А; у - время прохождения окружности мухой В.
АЛГЕБРАИЧЕСКИЕ И АРИФМЕТИЧЕСКИЕ ЗАДАЧИ
763. Расстояние между двумя станциями железной дороги 96 км. Первый поезд проходит это расстояние на 40 мин. скорее, чем второй. Скорость первого поезда больше скорости второго на 12 км/час. Определить скорости обоих поездов.Решение
764. Два лица выезжают одновременно из городов А и В навстречу друг другу. Первый проезжает в час на 2 км больше второго и приезжает в В часом раньше, чем второй в А. Расстояние между А и В равно 24 км. Сколько километров проезжает каждый в час? Решение
765. Расстояние между A и В по железной дороге 66 км, а по водному пути — 80,5 км. Из А поезд выходит на 4 часа позже парохода и прибывает в В на 15 мин. раньше парохода. Определить средние скорости поезда и парохода, если первая больше второй на 30 км/час.Решение
766. Одна мастерская должна была сшить 810 костюмов, другая за тот же срок должна была сшить 900 костюмов; первая закончила выполнение заказа за 3 дня до срока, а вторая — за 6 дней до срока. По скольку костюмов в день шила каждая мастерская, если вторая мастерская шила в день на 4 костюма больше первой? ешение
767. После встречи двух пароходов один из них пошел на юг, а другой на запад. Через два часа после встречи расстояние между ними было 60 км. Найти скорость каждого парохода, если известно, что скорость одного из них была на 6 км/час больше скорости второго.Решение
768. Собака, находясь в точке А, погналась за лисицей, которая была на расстоянии 30 м от собаки. Скачок собаки равен 2 м, скачок лисицы—1 м. Собака делает два скачка в то время, как лисица делает три скачка. На каком расстоянии от точки А собака догонит лисицу?Решение
769. Допуская, что стрелки часов движутся без скачков, узнать, через какое время после того, как часы показывали 4 часа, минутная стрелка догонит часовую стрелку.Решение
770. Поезд вышел со станции А на станцию С через В. Участок от A до В он шел с установленной скоростью, а участок от В до С — с уменьшенной на 25%. На обратном пути участок от С до В он шел с установленной скоростью, а участок от В до A — со скоростью, уменьшенной на 25%. Сколько времени шел поезд от A до С, если известно, что на участок от A до В он затратил столько же времени, сколько на участок от В до С, и что на путь по направлению от A к С он употребил на 5 /12 часа меньше, чем на обратный путь (т. е. от С до A)? Решение
771. Велосипедисту надо было проехать расстояние в 30 км. Выехав на 3 мин. позже назначенного срока, велосипедист ехал со скоростью, большею на 1 км/час, и прибыл вовремя на место. Определить скорость, с которой ехал велосипедист.Решение
772. Скорый поезд был задержан у семафора на 16 мин. и нагнал опоздание на перегоне в 80 км, идя со скоростью, на 10 км/час большей, чем полагалось по расписанию. Какова скорость поезда по расписанию? Решение
773. Поезд должен был пройти 840 км в определенное время. На половине пути поезд был задержан у семафора на 4 часа и, для того чтобы прибыть к месту назначения в срок, увеличил скорость на 2 км/час. Сколько времени поезд находился в пути? Решение
774. Из двух мест, расстояние между которыми 650 км, отправляются два поезда друг другу, навстречу. Если оба поезда тронутся с места одновременно, то они встретятся через 10 часов. Если же второй поезд отправится на 4 часа 20 минут раньше первого, то встреча произойдет через 8 часов после отправления первого. Определить среднюю скорость каждого поезда. Решение
775. Два поезда отправляются одновременно навстречу друг другу со станций Л и Б, расстояние между которыми 600 км. Первый из них приходит на станцию В па 3 часа раньше, чем второй на станцию А. В то время, как первый делает 250 км, второй проходит 200 км. Найти скорость каждого поезда. Решение
776. Дачник, идущий к поезду, пройдя за первый час 3,5 км, рассчитал, что, двигаясь с такой скоростью, он опоздает на 1 час. Поэтому он остальной путь проходит со скоростью 5 км/час и приходит за 30 мин. до отхода поезда. Определить, какой путь должен был пройти дачник. Решение
777. Расстояние от Москвы до Мытищ по шоссе 19 км. Из Москвы в Мытищи выехал велосипедист с некоторой постоянной скоростью; через 15 мин. после него в том же направлении вышел автомобиль; он через 10 мин. после выхода нагнал велосипедиста и продолжал путь до Мытищ, где, не останавливаясь, повернул обратно и через 50 мин. после своего выхода из Москвы встретил велосипедиста вторично. Определить скорости автомобиля и велосипедиста. Решение
778. Со станции А вышел в 5 час. утра почтовый поезд по направлению к станции В, отстоящей от А на 1080 км. В 8 час. утра вышел со станции В по направлению к А скорый поезд, который проходил в час на 15 км больше, чем почтовый поезд. Когда встретились поезда, если их встреча произошла в середине пути АВ? Решение
779. Расстояние между А и В равно 78 км. Из А выезжает велосипедист по направлению к В. Через 1 час ему навстречу отправляется из В другой велосипедист, делающий в час на 4 км больше первого. Встреча произошла на расстоянии 36 км от В. Сколько времени до встречи ехал каждый из них и с какой скоростью? Решение
780. Два пешехода вышли одновременно друг другу навстречу и встретились через 3 часа 20 мин. Во сколько времени пройдет все расстояние каждый из них, если первый пришел в то место, из которого вышел второй, на 5 час. позже, чем второй пришел в то место, откуда вышел первый? Решение
781. Два туриста идут друг другу навстречу — один из пункта А, другой из пункта В. Первый выходит из А на 6 час. позже, чем второй из пункта В, и при встрече оказывается, что он прошел на 12 км меньше второго. Продолжая после встречи путь с той же скоростью, первый приходит в В через 8 час, а второй в А — через 9 час. Определить расстояние АВ и скорости обоих туристов. Решение
782. Вылетев одновременно, дирижабль и самолет летят навстречу друг другу. К моменту встречи дирижабль прошел на 100 км меньше самолета и на место отлета самолета приходит через 3 часа после встречи. Самолет прибывает на аэродром дирижабля через 1 час. 20 мин. после встречи. Найти скорости самолета и дирижабля и расстояние между аэродромами.Решение
783. Из двух мест А и В вышли одновременно два пешехода навстречу друг другу. При встрече оказалось, что первый прошел на а км больше, чем второй. Если они будут продолжать путь, то, идя с прежней скоростью, первый придет в В через т часов, а второй придет в А через п часов после встречи. Найти скорость каждого пешехода. Решение
784. По окружности движутся два тела; первое пробегает окружность на 5 сек. скорее второго. Если они движутся по одному направлению, то сходятся через каждые 100 сек. Какую часть окружности (в градусах) пробегает каждое тело в 1 сек.? Решение
785. Два тела, двигаясь по окружности в одном и том же направлении, сходятся через каждые 56 мин. Если бы они двигались с теми же скоростями в противоположных направлениях, они встречались бы через каждые 8 мин. Далее известно, что при движении в противоположных направлениях расстояние (по окружности) между сближающимися телами уменьшилось бы с 40 м до 26 м за 24 сек. Сколько метров в минуту проходит каждое тело и какова длина окружности? Решение
786. По окружности длиной с равномерно и в одном направлении движутся две точки, которые сходятся через каждые t сек. Найти скорость каждой точки, зная, что одна из них пробегает всю окружность на п сек. быстрее другой. Решение
787. Расстояние между двумя городами по реке 80 км. Пароход совершает этот путь в два конца за 8 час. 20 мин. Определить скорость парохода в стоячей воде, считая скорость течения реки 4 км/час. Решение
788. Моторная лодка спустилась по течению на 28 км и тотчас же вернулась назад; на путь туда и обратно ей потребовалось 7 час. Найти скорость движения лодки в стоячей воде, если известно, что вода в реке движется со скоростью 3 км/час. Ответ
789. Некто проехал в лодке по реке из города А в город В и обратно, употребив на это 10 час. Расстояние между городами 20 км. Найти скорость течения реки, зная, что он проплывал 2 км против течения за такое же время, как 3 км по течению реки. Решение
790. Пароход идет из Киева в Днепропетровск в течение двух суток, обратно — в течение трех суток. Определить, сколько времени будет плыть плот из Киева в Днепропетровск. Решение
791. На участке АВ, равном 60 м, равномерно движутся навстречу друг другу два тела М1и М2. Тело M1 вышло из конца А на 15 сек. раньше, чем тело М2 из конца В. Достигнув противоположного конца участка, каждое тело тотчас же возвращается назад с прежней своей скоростью. Первая встреча между ними произошла через 21 сек., а вторая через 45 сек. после выхода тела М1. Найти скорость каждого тела. Решение
792. Дорога из города А в город В сначала подымается в гору на протяжении 3 км, потом идет по ровному месту на протяжении 5 км, после спускается под гору на протяжении 6 км. Посыльный, уйдя из А в В и пройдя полпути, обнаружил, что взял не все пакеты. Он повернул обратно и через 3 часа 36 мин. после своего выхода из А вернулся в А. Выйдя из А вторично, он прошел весь путь до В за 3 часа 27 мин. и обратный путь в А — за 3 часа 51 мин. С какой скоростью шел посыльный в гору, по ровному месту и под гору, если считать эти скорости постоянными?Решение
1. Две ракеты вылетают навстречу друг другу из точек, находящихся на расстоянии 199919 км. Одна из них летит со скоростью 12000 км/ч, другая – со скоростью 18000 км/ч. На каком расстоянии они будут за минуту до встречи?
Решение. Скорость сближения ракет равна 12000 + 18000 = 30000 км/ч. За минуту до встречи между ними будет такое расстояние, на которое они сблизятся ровно за эту минуту, то есть нужно скорость сближения умножить на время (и неважно, какое расстояние было между ними сначала!). Не забудем перевести всё к одним единицам измерения, для чего заметим, что за минуту ракеты сблизятся на в 60 раз меньшее расстояние, чем за час, то есть скорость в км/мин будет в 60 раз меньше скорости в км/ч:
30000 км/ч · 1 мин = 500 км/мин · 1 мин = 500 км.
2. После того, как туристы прошли 1 км, а затем половину оставшегося пути, им осталось пройти треть всего пути и 1 км. Чему равен весь путь?
Решение. Обозначим длину пути за S км. Тогда, после того, как туристы прошли 1 км, им осталось S − 1 км, половина от этого равна ( S − 1) / 2 , значит, уравнение будет выглядеть так:
\(S - 1 - \frac<(S - 1)> = \frac + 1\)
\(S - \frac + \frac - \frac = 1 + 1\)
\(S - \frac - \frac = 2 - \frac\)
\(S - \frac = \frac\)
\(\frac = \frac\)
\(S = 9\) (км).
3. На трассе через равные промежутки установлены фонари. Фикс проезжает от первого фонаря до четвертого за 12сек. За какое время он проедет от первого фонаря до шестнадцатого, если не изменит скорость?
4. Фогг и Фикс одновременно отправились из А в В. Фогг поехал на велосипеде, а Фикс – на автомобиле со скоростью, в пять раз большей, чем скорость велосипеда. На полпути автомобиль сломался и оставшуюся часть пути Фикс прошел пешком со скоростью в два раза меньшей скорости велосипедиста. Кто прибыл раньше: Филиас Фогг или Фикс?
Указание. Обозначьте все неизвестные величины буквами. Напишите выражения для времени в пути Фогга и для Фикса и сравните их. При сравнении значения неизвестных величин окажутся неважны.
Решение. Пусть длина пути равна S , а скорость велосипеда равна v . Тогда скорость автомобиля равна 5 v . Время в пути:
Фогг: \(\frac\)
Фикс: \(\frac<(S / 2)> <(5 v)>+ \frac<(S / 2)> <(v / 2)>= (\frac + 1) \cdot \frac\)
Итак, время в пути для Фикса в \(1 \frac\) раз больше, чем для Фогга, поэтому Фогг приедет раньше.
5. Мышке до норки по прямой 20 шагов. Кошке до мышки по той же прямой 5 прыжков. Пока кошка совершает 1 прыжок, мышка делает 3 шажка, но один кошачий прыжок такой же длинный, как 10 мышиных шажков. Догонит ли кошка мышку?
Указание. Сравните время, необходимое мышке, чтобы добраться до норки, и кошке, чтобы добраться до мыши (чтобы его найти, полезно рассмотреть расстояние между мышью и кошкой и скорость их сближения; получится задача, аналогичная предыдущей).
Будем измерять расстояния в мышиных шажках, скорости — в мышиных шажках за раз. Время, нужное мышке, равно 20/3 = 6 2/3. Найдём время, нужное кошке: до мышки ей 5 · 10 = 50 мышиных шажков, а скорость сближения равна разности скоростей кошки и мышки (так как они обе бегут в одну сторону) 10 - 3 = 7 шажков за раз. Тогда кошке нужно 50/7 = 7 1/7 единиц времени, что больше.
6. Когда мистер Фикс проехал половину всего пути, то лег спать и проснулся только тогда, когда осталось ехать половину того пути, что он проехал спящим. Сколько часов он спал, если он ехал всего 18 часов?
Решение. Половину пути он проехал за 18/2 = 9 часов. За это время он спал x часов и ещё 9 − x часов проезжал половину пути, который он проехал спящим (то есть это время вдвое меньше, чем время сна):
9 − x = x ⁄2
3 x ⁄2 = 9
x = 6 (часов).
7. Из города в деревню одновременно вышли два пешехода, один из них половину затраченного времени шел со скоростью 5км/ч, а вторую половину – со скоростью 4 км/ч. Второй же пешеход первую половину пути шел со скоростью 4 км/ч, а вторую половину пути – со скоростью 5 км/ч. Кто из пешеходов придет в деревню раньше?
Решение. Для первого пешехода удобно выразить путь S через время его похода t 1 :
\(S = 5 \cdot \frac \cdot t_1 + 4 \cdot \frac \cdot t_1 = \frac<(5 + 4)> \cdot t_1 = \frac \cdot t_1\)
\(t_1 = \frac \cdot S = \frac <(9 \cdot 40)>\cdot S\)
Для второго удобно сразу написать время в пути t 2 :
\(t_2 = \frac<(S / 2)> + \frac<(S / 2)> = (\frac + \frac) \cdot S = \frac \cdot S = \frac \cdot S = \frac <(9 \cdot 40)>\cdot S\)
Видим, что t 1 t 2 , так как 80 8. Два поезда одновременно выехали навстречу друг другу. На стекле одного из них сидела муха. В тот момент, когда поезда тронулись, она взлетела и полетела к другому поезду. Долетев до него, она тут же развернулась и полетела обратно и т.д. Так она летала как угорелая до тех пор, пока поезда не столкнулись и не раздавили муху. Какое расстояние пролетела муха, если скорость первого поезда 40км/ч, скорость второго – 60км/ч, расстояние между городами 2000км, а скорость мухи 100км/ч.
Решение. Расстояние = скорость × время. Чтобы его найти, не хватает времени, которое муха была в полёте.
Читайте также:


