Как называется любая перевозка туриста внутри туристского центра
Шпаргалки к государственному экзамену по туризму. Часть 1 - ТРАНСПОРТНЫЕ УСЛУГИ В ТУРИЗМЕ.
Page 18 of 32Транспортные услуги в туризме.
Транспортные услуги - один из основных видов услуг в туризме. На них приходится и основная доля в структуре цены тура. В зависимости от продолжительности, дальности путешествия эта доля (в большинстве случаев) колеблется от 20 до 60 %.
Различные виды транспорта используются туристскими организациями для перевозки туристов во время путешествий. Услуги перевозки и иные транспортные услуги присутствуют в различных составляющих туристского продукта. Прежде всего, это перевозка с места отправления в место назначения и трансфер - перевозка туристов к объекту назначения, транспортные услуги на месте.
Основная доля в общей структуре транспортных услуг принадлежит авиационному транспорту. Наибольшее количество туристов, особенно путешествующих на дальние расстояния, пользуются услугами авиации.
Автомобильный транспорт можно с полным правом назвать транспортом всеобщего применения, так как он используется повсеместно: от трансферов и экскурсий, внутримаршрутных перевозок автобусами до аренды малолитражных автомобилей туристами для личного пользования на отдыхе. Автобусы и автомобили транспорт местного и внутрирегионального значения. Особой популярностью пользуются автобусные экскурсионно-познавательные туры с посещением нескольких городов и достопримечательных мест. Для туристов удобно, что они могут разъезжать по маршруту и в пределах города на своем транспорте. Правда, с парковкой возникают трудности во многих городах Европы и России
Главный конкурент автобусов в групповых перевозках - железная дорога. В пределах нашей страны она имеет некоторый приоритет и перед авиационными перевозками (по групповым внутрироссийским маршрутам). Преимуществом железнодорожных перевозок являются также более низкие тарифы и (в зарубежных странах) разветвленная система скидок, проездных билетов и т. п., позволяющих путешествовать по значительно более низким ценам. Однако ни автобусные, ни железнодорожные перевозки не конкурируют с авиацией на дальних расстояниях
Водный транспорт, речной и морской сами по себе уже вызывают образ туристского - круизного обслуживания и используются в туризме достаточно активно. Водные путешествия имеют ряд как преимуществ, так и недостатков по сравнению с другими видами транспорта. Наиболее значимыми преимуществами являются высокий уровень комфорта, большой объем единовременной загрузки, возможности реализации различных видов и целей туризма (познавательный, бизнес-туризм, учебный, шоп-туризм и др.), полноценного отдыха, полный комплекс жизнеобеспечения. Основными недостатками можно назвать невысокую скорость передвижения транспортных средств, высокие тарифы, ограничение мобильности, а зачастую и подверженность части людей «морской болезни» на морских круизах.
Предоставление транспортных услуг и транспортных средств может быть включено в состав тура или зарезервировано организатором туризма и предоставлено туристу за плату на месте. Турист также может самостоятельно купить такие услуги в месте пребывания. Транспортные средства могут быть товаром, объектом аренды, объектом и средством аттракции, а также участвовать в генерации особых видов турпродукта, отличных от перевозки. Они также могут служить местом размещения, индивидуальным транспортным средством, объектом развлечения или товарной покупки.
Выбор транспортных средств при туристских путешествиях определяется рейтингом их популярности, степенью развития транспортной системы, видом путешествий, протяженностью маршрута, благосостоянием населения, тарифами, национальными традициями, демографической структурой, а также другими факторами.
Классификация транспортных средств. В соответствии с Рекомендациями по статистике туризма, разработанными ЮНВТО, предъявляется следующая классификация средств транспорта.
1. Воздушный транспорт:
· рейсы, подчиняющиеся расписанию;
· прочие воздушные перевозки.
2. Водный транспорт:
· пассажирские линии и паромы;
3. Сухопутный транспорт:
· международные и городские автобусы;
· прочий общественный автодорожный транспорт;
· частные автомашины вместимостью до восьми человек;
· прокат автотранспортных средств;
· прочие сухопутные транспортные средства.
Организация и управление транспортными перевозками в туризме.
Организация обслуживания туристов
Комплекс различных мер/мероприятий организационного, юридического и пр. характера, направленный на достижение качественного обслуживания туристов.
1. Организация транспортного обслуживания по программным турам
2. Требования нормативно-правовой базы магистральных видов транспорта по обслуживанию туристов
· Стандартные (ж/д, автомобильный, водный, речной, морской, воздушный)
· Нестандартные (байдарки, гужевой и т.п.)
Каждый тур необходимо обеспечить транспортом соответствующей специализации и по определенному набору услуг.
В системе транспортного обеспечения в туризме различают:
• туристские перевозки, входящие в основной комплекс туристских услуг, включаемых в тур: доставка туристов от места их постоянного проживания к месту назначения (или месту начала маршрута) и обратно;
• трансфер — предоставление транспортных средств для обеспечения встреч-проводов туристов;
• транспортное обслуживание программных мероприятий по туру: экскурсионное обслуживание, выезд на программные мероприятия, посещение окрестностей, перемещения по маршруту.
Выбор предприятием транспортных средств для обеспечения туристского путешествия зависит от целого ряда факторов: целевой направленности тура, длительности транспортировки, количества путешествующих, вместимости транспортного средства, программы тура, безопасности передвижения, мобильности транспортного средства и уровня комфорта.
При выборе транспортных средств большую роль играет целевая направленность тура. В зависимости от целей туристского путешествия в его состав будут включены те или иные услуги транспорта. Например, стандартное транспортное обслуживание экскурсионного группового тура из Москвы в Париж на 5 дней должно включать в себя: услуги по транспортировке туристов из Москвы в Париж и обратно; услуги трансфера от аэропорта до гостиницы при заезде группы и от гостиницы до аэропорта при Убытии группы; обеспечение программных мероприятий, например, обзорной экскурсии по городу (экскурсионный автобус) или экскурсии по Сене (прогулочный теплоход).
Еще одним важным фактором, оказывающим влияние на выбор транспортных средств, является количество путешествующих. Этот фактор чаще всего используется при определении типа перевозок: регулярных или нерегулярных (арендованных или чартерных). В зависимости от количества туристов в туристской группе определяют также, какими транспортными средствами необходимо воспользоваться для обеспечения тура: самолетом, железной дорогой, автобусом или легковыми автомобилями и т.д.
Следующим фактором, учитываемым при выборе транспортных средств для обеспечения тура, является длительность транспортировки. При рассмотрении этого фактора обычно ориентируются на обеспечение требований комфортности перемещения туристов, поэтому он, как правило, рассматривается применительно ко всему комплексу транспортного обеспечения тура.
Важным фактором, определяющим выбор средств транспортировки, является также программа тура, в зависимости от которой предусматриваются самые различные транспортные услуги. Как уже упоминалось выше, это могут быть экскурсии, услуги по доставке туристов к местам программных мероприятий и обратно и др. Как правило, для обеспечения программы тура в групповом туризме используют туристские автобусы, так как программные мероприятия обычно рассчитаны на всю группу целиком и не предусматривают дальних поездок от целевого места назначения тура.
Автоуслуги, используемые в туристском обслуживании, включают три основных направления:
· организация автобусных путешествий;
· организация путешествий на личном автотранспорте туристов;
Относительно низкие затраты на приобретение туристских автобусов (в сравнении с другими транспортными средствами), а также высокая эффективность их использования делают этот вид перевозок привлекательным для большого количества туристских предприятий. Использование собственных автобусов позволяет уменьшить издержки туристского путешествия и, как следствие, снизить его стоимость. Наибольшее применение туристские перевозки собственными автобусами нашли в организации туров, ориентированных на массового потребителя.
Использование арендованного транспорта лишено недостатков, связанных с приобретением и обслуживанием собственных туристских автобусов. Аренда наиболее эффективна для начинающих туристских предприятий и компаний, не достигших значительного оборота средств. Аренда туристских автобусов осуществляется на основании договоров аренды, заключаемых между туристским и транспортным предприятиями.
Несмотря на целый ряд преимуществ автобусов, их применение имеет и ограничения, одним из которых является ограничение количества перевозимых туристов (до 45 чел.). Применение автобусов наиболее эффективно для перевозок туристов на небольшие расстояния и обеспечения различного рода программных мероприятий. Организация туристских путешествий на средние и большие расстояния требует дополнительной тщательной организации маршрута, мест стоянок, ночлегов, питания. Длительное пребывание в транспортном средстве (особенно на обратном пути) может отрицательно сказаться на общем восприятии качества отдыха
Автотуры – когда турист обращается в т/ф с просьбой разработать маршрут, а едет на своей машине. Процесс подготовки автопутешествия включает:
• разработку графика движения;
• оформление маршрутной документации.
В дороге туристу потребуются следующие документы: паспорт (при путешествиях за границей — иностранный паспорт с визами соответствующих стран), удостоверение на право вождения автомобиля, технический паспорт автомобиля, талон предупреждений, доверенность на право вождения автомобиля или договор о его аренде (если путешествие совершается не на своем автомобиле).
Туристы, выезжающие за рубеж на собственном транспорте, должны иметь водительские права международного образца, транспортное средство должно быть застраховано, владелец транспортного средства должен иметь страховой полис страхования гражданской ответственности, а также надлежащим образом оформленные документы на автомобиль. Туристское предприятие как организатор подобного рода туров должно оказать содействие в правильном оформлении указанных документов. Помимо этого, туристу должны быть предоставлены карта с нанесенным маршрутом движения, местами заправок, кемпингами, мотелями, пунктами технического обслуживания, а также документы, подтверждающие заказ обслуживания в этих пунктах, либо международные сервисные книжки, позволяющие размещаться либо получать обслуживание в указанных пунктах по предварительной оплате.
o местные - между станциями одной железной дороги (в Европе может быть в пределах одного государства). Обычно они курсируют на расстояние в пределах до 700 км
Стандартные железнодорожные туры условно можно разделить на три самостоятельные категории:
• непродолжительные (2—3 суток);
• многодневные (от 5 дней и более).
Однодневные туры начинаются утром и заканчиваются вечером того же дня. В дороге туристы располагаются за столиками вагонов-ресторанов. По пути они могут не только перекусить, но и посмотреть выступления эстрадных и цирковых артистов. Туристов довозят до конкретной станции, где для них подготовлена специальная программа. Это может быть экскурсионная поездка или же пикник на природе.
Непродолжительные туры, как правило, предлагают проживание туристов в отдельных купе. Поездки традиционно составлены с таким расчетом, чтобы ночью, когда все спят, поезд находился в пути. Днем же туристы заняты на всевозможных экскурсионных мероприятиях.
Многодневные туры отличаются большим разнообразием. В зависимости от маршрута и экскурсионной программы туристы часто находятся в пути и в дневное время.
Организация железнодорожных перевозок осуществляется Учреждениями железнодорожного транспорта. Туристская фирма на основании заявки приобретает железнодорожные билеты для перевозки туристов. Эти билеты могут быть индивидуальными или групповыми. Помимо этого железные дороги предоставляют широкий спектр скидок и льгот для различных категорий пассажиров. Организация туристских поездов осуществляется на основании договора по согласованному графику и маршруту движения.
Морские и речные перевозки туристов осуществляются, как правило, в виде пассажирских перевозок, экскурсионных путешествий, путешествий на паромах и круизов. Обеспечение морских и речных перевозок проводится специальными компаниями (пароходствами, круизными компаниями), которые в большинстве случаев выступают в роли туроператоров.
Круизные компании подразделяются на четыре основные категории:
· стандартные (их обычно обозначают ***), например, Dolphin cruise line;
· первоклассные (****), например, Costa Cruises, Norwegian Cruise Line;
· престижные (*****), например, Holland American Line, Celebrity Cruises;
· суперлюкс (******)) например, Seabourn и др.
Авиапутешествия. В рамках организации туристских путешествий существует несколько форм взаимодействия туристских фирм и авиакомпаний:
• бронирование мест и выкуп авиабилетов через агентства авиакомпании или системы бронирования;
• договор с авиакомпанией на квоту мест на регулярных авиарейсах;
• агентское соглашение и работа в роли агентства по продаже авиабилетов для своих туристов;
• организация чартерных авиарейсов под туристские перевозки.
Чтобы правильно выбрать наиболее удобную и выгодную форму взаимодействия, а также грамотно заключить контракт на авиаперевозки туристов, необходимо знать особенности, преимущества и недостатки того или иного вида взаимодействия с авиакомпанией.
При бронировании авиабилетов следует выполнять требования профессиональной этики: снабжать авиакомпанию телефонными номерами пассажиров (на случай экстренного контакта); немедленно отменять в авиакомпании броню в случае изменения маршрута; выписывать билеты с гарантированным местом только при его подтверждении авиакомпанией; оформлять все необходимые документы надлежащим образом и др. Системы электронного бронирования предназначены для размещения заказов на туристские услуги, в том числе и транспортные.
Договор на квоту мест на регулярных авиарейсах предполагает, что квота мест (блок мест) может быть жесткой или мягкой. При жесткой квоте вся ответственность за нереализацию мест блока, независимо от причины, ложится на туристскую фирму. Финансовые потери несет туристское предприятие. При мягкой квоте устанавливаются сроки возможного отказа туристского предприятия от квоты или ее части по причине нереализации туристских путевок. Эти сроки предусматривают возможность дальнейшей продажи этих мест самой авиакомпанией или ее агентами.
Еще одной формой взаимодействия туристского предприятия является агентское соглашение с авиакомпанией. Некоторые авиакомпании считают своими агентами все туристские предприятия, имеющие с ними договор на квоту мест. Однако это не совсем верно. Если туристское предприятие работает с авиакомпанией на основании агентского соглашения, то оно само выступает в качестве «кассы по продаже билетов» авиакомпании, т.е. выписывает билеты и имеет соответствующее компьютерное оборудование и право доступа к сети бронирования данной авиакомпании. Авиакомпания же в лице данного туристского предприятия имеет дополнительный пункт продажи (одним из условий агентского соглашения обычно является преимущественная продажа под туры билетов именно этой авиакомпании).
Особой разновидностью авиационных туристских перевозок являются чартерные авиарейсы (аренда самолета). Большинство авиакомпаний мира организуют чартеры по туристским направлениям, пользующимся повышенным спросом. Как правило, такие авиаперевозки организовываются в туристские центры.
Происшедшие изменения в развитии туризма отражаются как на организации путешествий, так и на системе транспортного обслуживания. Массовый характер туристских потоков предопределяет появление новых потребностей, нового отношения туристов к мотивам, целям и предпочтениям в организации туристских путешествий. В результате этого наряду с классическими появляются новые виды туризма, которые поднимают туристский спрос на качественно новый уровень, требующий от транспорта удовлетворения новых потребностей в его услугах. Вот почему транспортные организации наряду с количественным и качественным совершенствованием своей материально-технической базы должны в своей деятельности учитывать новые требования и организационные изменения, включающие:
· обособление самостоятельных транспортных предприятий, чья деятельность в целом (или в преобладающей степени) заключается в осуществлении транспортных перевозок туристов;
· осуществление интеграции транспортных и туристских предприятий. Это особенно характерно для самых крупных авиатранспортных фирм, которые в настоящее время контролируют огромный гостиничный фонд;
· создание специализированного звена в рамках туристских предприятий, перед которым ставится задача содержания собственного парка транспортных средств с целью обеспечения транспортного обслуживания туристов во время их пребывания в туристской местности;
· установление прочных взаимосвязей и осуществление тесных контактов между транспортными и туристскими предприятиями для достижения максимальной координации деятельности, связанной с обслуживанием иностранных и местных туристов. В связи с этим характерно создание туристских агентств - организаторов туристских путешествий и эксплуатации транспортных средств;
· проведение реорганизации и перестройки деятельности транспортных предприятий в зависимости от конъюнктуры международного туристского рынка или сезонных колебаний в туризме. Например, транспортные средства перемещают из линейных в чартерные или круизные туристские путешествия в зависимости от распределения туристского спроса и экономических интересов транспортных предприятий. Во время активного туристского сезона большая часть автотранспорта используется для перевозок с туристскими целями, вводятся в действие специальные сезонные и туристские поезда, интенсифицируются транспортные связи с туристскими местностями;
· проведение организационных изменений, связанных с территориальным размещением транспорта, преимущественным развитием новых туристских районов или формированием новых потоков туристов. Если проследить историческое развитие французской или итальянской Ривьеры, испанского побережья или туристских районов Альп, то станет видно, что из слабых в прошлом хозяйственных районов они благодаря туризму в значительной степени улучшили свой экономический облик. Это же относится и к развитию транспорта и обеспечению лучшей транспортной доступности упомянутых районов.
Как называется любая перевозка туриста внутри туристского центра

ТУРИСТИЧЕСКИЕ ТЕРМИНЫ
ТУРАГЕНТСТВО – Компания, занимающаяся реализацией туров, сформированных туроператором. Турагентство заключает договоры с туроператорами и получает скидку за объём продаж, на основании которой и существует.
ТУРОПЕРАТОР – Компания, специализирующаяся на планировании, составлении туров и продающая турпутёвки посредством турагентств или непосредственно туристу.
ТУР – Комплекс услуг по размещению, перевозке, питанию туристов, экскурсионные услуги, а также услуги гидов-переводчиков и другие услуги, предоставляемые в зависимости от целей путешествия.
МЕДИЦИНСКИЙ СТРАХОВОЙ ПОЛИС (СТРАХОВКА) – Документ, гарантирующий медицинское обслуживание в случае болезни или травмы (условия оговариваются дополнительно). Для въезда в некоторые страны наличие страховки обязательно.
ГРУППОВЫЕ И ИНДИВИДУАЛЬНЫЕ ТУРЫ – Групповые туры подразумевают готовый пакет туристских услуг, разработанный туроператором на основе групповых тарифов на авиаперелет (часто это чартер), обслуживание, трансферы и проживание. Такие направления массового туризма, как Турция, Египет, Тунис, Испания, Болгария, Таиланд, о. Бали, Хорватия, ОАЭ, Кипр, а также автобусные ж/д и авиа туры по Европе продаются по групповым ценам.
В случае же индивидуального тура авиаперелет, трансферы, проживание и обслуживание подбираются под конкретного человека (семью, группу лиц) с учетом их индивидуальных пожеланий и пристрастий. Индивидуальные туры обычно дороже групповых.
«ГОРЯЩИЕ ПУТЁВКИ» или СПЕЦПРЕДЛОЖЕНИЕ – Представьте, что туроператор на определенные даты (или весь сезон) выкупил места в самолете, оплатил номера в гостиницах, заказал трансферы и т.д. Но на какую-то конкретную дату не успевает реализовать все туры. И таких операторов не один (к примеру, по Турции работают около 20 крупных турецких и наших операторов). Тут-то и начинается снижение цен, и поступают «спецпредложения» (это более корректный термин для «горящей путевки») на конкретные даты и по конкретным отелям. По спецпредложениям продаются, в основном, туры в безвизовые и страны с упрощенным визовым режимом: Кипр, Турция, Египет, Тунис, Хорватия, Таиланд.
Общетуристские термины 
Аннуляция – Отмена туристической поездки. Условия отказа оговариваются в договоре.
Бронирование – Предварительное закрепление за определенным туристом (пассажиром) мест в гостиницах или на транспортных средствах, билетов на культурно-массовые мероприятия на определенную дату.
Бизнес-тур – Тип путешествия, который необходим деловым людям и, возможно, требующий особого сервиса, например, комнату для переговоров, услуг секретарей.
Ваучер – Документ, выданный туристической или транспортной фирмой в подтверждение того, что турист оплатил конкретные виды услуг (проживание, питание, проезд, экскурсионное обслуживание и т.д.), и являющийся основанием для получения этого обслуживания.
Виза – Официальная отметка (штамп консульства и т. п.) в загранпаспорте, дающая право въезда, выезда, проживания или проезда через территорию определенного государства.
Гид – Специалист по проведению экскурсий с туристами, имеющий на это лицензию.
Гостевой чек – Квитанция, предъявляемая хозяину ресторана или бара, часто используется как часть ваучера.
Документы проездные групповые – Транспортные бумаги, оформленные на группу туристов и подтверждающие право группы на проезд в данном транспорте (билеты, турпутевки с отрывным талоном и др.).
Дорожный чек – Банковское платежное средство, которое может быть обменено на наличные деньги в той валюте, в которой оно выписано, или на эквивалентную сумму в иностранной валюте по действующему курсу.
Карта прибытия – Бланк, заполняемый туристом по прибытии в другую страну и предъявляемый на пограничном КПП.
Комплексное обслуживание – Стандартный набор туристических услуг, обычно включающий встречу и проводы, размещение в гостинице, питание и экскурсионное обслуживание.
Круиз – Туристическая поездка на определенном транспортном средстве, используемом как средство перевозки, размещения, питания, развлечений и т.д.
Курортный сбор – Местный налог, плательщиками которого являются физические лица, прибывающие в курортные местности.
Организованный туризм – Поездка, организуемая туристическими компаниями по стандартному маршруту.
Путевка – Документ, подтверждающий оплату услуг на маршруте и являющийся основанием для предоставления этих услуг.
Рекламация – Претензия; заявление туриста, отправляемое в офис фирмы - продавца тура при несоответствии оплаченных и действительно предоставленных услуг. На основании рекламации составляется протокол. В случае, если факт несоответствия доказан, должна последовать компенсация ущерба.
Сопровождающий – Служащий турфирмы, в обязанности которого входит сопровождение туристов по маршруту, организация размещения, питания и перевозки.
Транзит – Провоз пассажиров из одной страны в другую через промежуточную страну.
Трансфер – Любая перевозка туриста внутри туристического центра (обычно из аэропорта/вокзала в гостиницу и обратно и т.д.).
Турпакет – Туристический план (маршрут), включающий основные элементы отдыха: транспортировку, трансфер, размещение, питание, экскурсии и др. услуги (состав может меняться). Турпакет имеет фиксированную цену.
Форс-мажор – Обстоятельство, наступление которого не могло быть предотвращено стороной, ответственной за исполнение обязательства, и являющееся причиной неисполнения последнего (например, война, стихийное бедствие и т.п.).
Шенгенская виза – Единая виза, которая дает право беспрепятственно передвигаться по территории стран Шенгенской группы (Германия, Франция, Бельгия, Нидерланды, Люксембург, Испания, Португалия, Италия, Швеция, Норвегия, Финляндия, Дания, Австрия, Греция) в течение срока действия визы.
Шоп-тур – Туристическая поездка, целью которой является покупка определенных товаров, характерных для стран пребывания.
Гостиничные термины 
Анимация – Организация развлечений и спортивного проведения досуга. Анимационные программы включают спортивные игры и состязания, танцевальные вечера, карнавалы, игры, хобби, занятия, входящие в сферу духовных интересов и т.п. Аниматор – специалист по формированию туристского продукта и организатор рекреационной деятельности туристов.
Reception (Front Desk) – Стойка регистрации
Room Service – Обслуживание в номере
Tourist Class – Экономический класс (в номере такого класса нет ванны).
Кемпинг – Лагерь для автотуристов, расположенный в загородной местности или в зоне отдыха, оборудованный палатками или другими сооружениями летнего типа, автостоянкой, системой водоснабжения и канализации и оснащенный приспособлениями для приготовления пищи.
Мини-бар – Маленький холодильник в номере с алкогольными и безалкогольными напитками; обычно за дополнительную плату.
Расчетный час – Момент окончания (обычно 12-00 дня) суток, до которого гость должен освободить комнату или оплатить проживание в определенный день.
Чрезвычайный ключ (grand master) – Один ключ, который открывает все комнаты отеля, включая те, которые закрыты изнутри.
 
Cпортивные термины 
Chair lift telecabina – Канатная дорога
Chair lift – Кресельный подъемник
Grag lift telesquis – Бугельный подъемник
Gear hire – Прокат горнолыжного снаряжения
Green (Red, Blue, Black) slope – "Зеленая" ("красная", "синяя", "черная") горнолыжные трассы
Cross country slope – Трасса для беговых лыж
Dounhill – Скоростной горнолыжный спуск
Off piste – Катание на горных лыжах вне трасс
Дайвинг – Подводное погружение с аквалангом
Рафтинг – Сплав по горным рекам на лодках, катамаранах или плотах
Сафари – Туристическая поездка с целью охоты или знакомства с местной природой, как правило, в странах Центральной Африки
Ски-пасс – Пропуск на пользование подъемниками на горнолыжных трассах
Треккинг – Пешие походы по пересеченной местности без специальной подготовки участников
Таможенные термины 
Duty Free – Система беспошлинной торговли в аэропортах, на бортах самолетов, паромов и других транспортных средств или в других отдельных местах, посещаемых иностранцами.
Free Port – Порт, в котором туристы могут приобрести товары без уплаты таможенных пошлин.
Tax free – Система частичного возврата НДС в ряде стран при покупке и вывозе товара иностранцами; деньги могут возвращаться при пересечении границы или в стране постоянного пребывания.
Береговое обслуживание – Совокупность услуг, предоставляемых участнику круиза в портах захода круизного судно в период его стоянки.
Беспошлинный ввоз – Провоз через таможенную границу страны товаров без обложения их ввозными пошлинами.
Зеленый коридор – Место пересечения границы при провозе вещей, не подлежащих обязательному таможенному декларированию.
Карта прибытия – Бланк, заполняемый туристом по прибытии в другую страну и сдаваемый пограничной службе.
Регистрационная карточка – Документ, выдаваемый в ряде стран пограничными властями временным посетителям при въезде в страну и возвращаемый ими пограничным властям при выезде из страны, подтверждающий регистрацию этих посетителей властями данной страны.
Таможенная декларация – Заявление со стороны туристов таможенным властям при пересечении границы, содержащее сведения о перевозимых туристами вещах, подлежащих декларированию.
Таможенная пошлина – Налог, которым облагаются некоторые товары, пропускаемые через границу какой-либо страны.
Таможенные льготы – Частичное или полное освобождение от уплаты таможенной пошлины на ввоз в страну товаров, обычно облагаемых пошлиной; частичное или полное снятие ограничений на вывоз из страны определенных товаров.
Транспортные термины 
Complimentary Ticket – Бесплатный проезд
Party Ticket – Групповой билет
Багажная квитанция – Оформляемый авиакомпанией и выдаваемый пассажиру при регистрации багажа официальный документ, подтверждающий, что авиакомпания берет на себя перевозку этого багажа и выдачу его пассажиру по окончании перевозки.
Замкнутый круговой маршрут Круговой маршрут с транспортировкой пассажиров до места назначения и обратно одним и тем же видом транспорта.
Интер-райд – Система проездных билетов на железнодорожном транспорте, позволяющая в течение определенного срока действия ездить внутри зоны билета без ограничений.
Комбинированный билет – Билет на поездку с использованием двух и более транспортных средств.
Маршрут – Заранее установленный путь следования туристов или транспортных средств.
Норма багажа – Максимальный вес или габарит багажа, принимаемого авиакомпаний к бесплатной перевозке; нормы багажа дифференцированы по классам пассажирских мест.
Открытый билет – Билет с открытой датой отъезда.
Паркинг – Место для стоянки автотранспорта (платно или бесплатно).
Чартер – Оптовая покупка самолета для перевозки пассажиров или груза. Чартерные перевозки назначаются на конкретное время, в конкретный день, в конкретно заказанное место.
1.2 Классификация туристских перевозок
Туристская перевозка – это путешествия организованных групп туристов или индивидуальных туристов при наличии путёвок (ваучеров) по разработанным маршрутам с использованием различных транспортных средств.
Услуги перевозки и иные транспортные услуги присутствуют в различных составляющих туристского продукта. Транспортные услуги могут использоваться для перевозки туристов из места отправления в место назначения, для трансфера, а также для проведения экскурсий. В ряде случаев перевозки сами могут быть положены в основу туристского продукта. Так, в основе круизов, автобусных и железнодорожных туров лежит использование транспортных средств определённого уровня комфорта. Перевозки и транспортные средства могут выступать в качестве товара (аренда автомобилей, самолётов, вагонов, морских и речных судов), использоваться для осуществления нетрадиционных способов перемещения, а также применяться в развлекательных аттракционах.
Предоставление транспортных услуг и транспортных средств может быть включено в состав тура, зарезервировано организатором туризма и представлено туристу за плату на месте. Турист может самостоятельно купить такие услуги в месте пребывания или пользоваться ими, когда средства перевозки выступают товаром, объектом аренды, объектом и средством аттрации и т.д. Турист может участвовать в генерации особенных видов туристского продукта, отличных от собственно перевозки.
Средства перевозки могут выступать в роли:
1) средств перемещения;
2) мест размещения;
3) объектов развлечения и отдыха;
4) объектов товарной покупки;
5) индивидуальных транспортных средств.
Туристские перевозки классифицируются по следующим признакам:
1) способу передвижения на маршруте;
2) виду используемого транспорта;
3) построения трассы маршрута;
4) продолжительности путешествия;
6) других факторов.
Основой для классификации перевозок туристов является тип туристского маршрута.
Туристские маршруты – один из основных видов обслуживания, предоставляемых туристам.
По мнению М.Б. Биржакова, «туристский маршрут есть географически определенная, привязанная к данной местности и особенны объектам и описанная с различной степенью детализации трасса похода, путешествия».
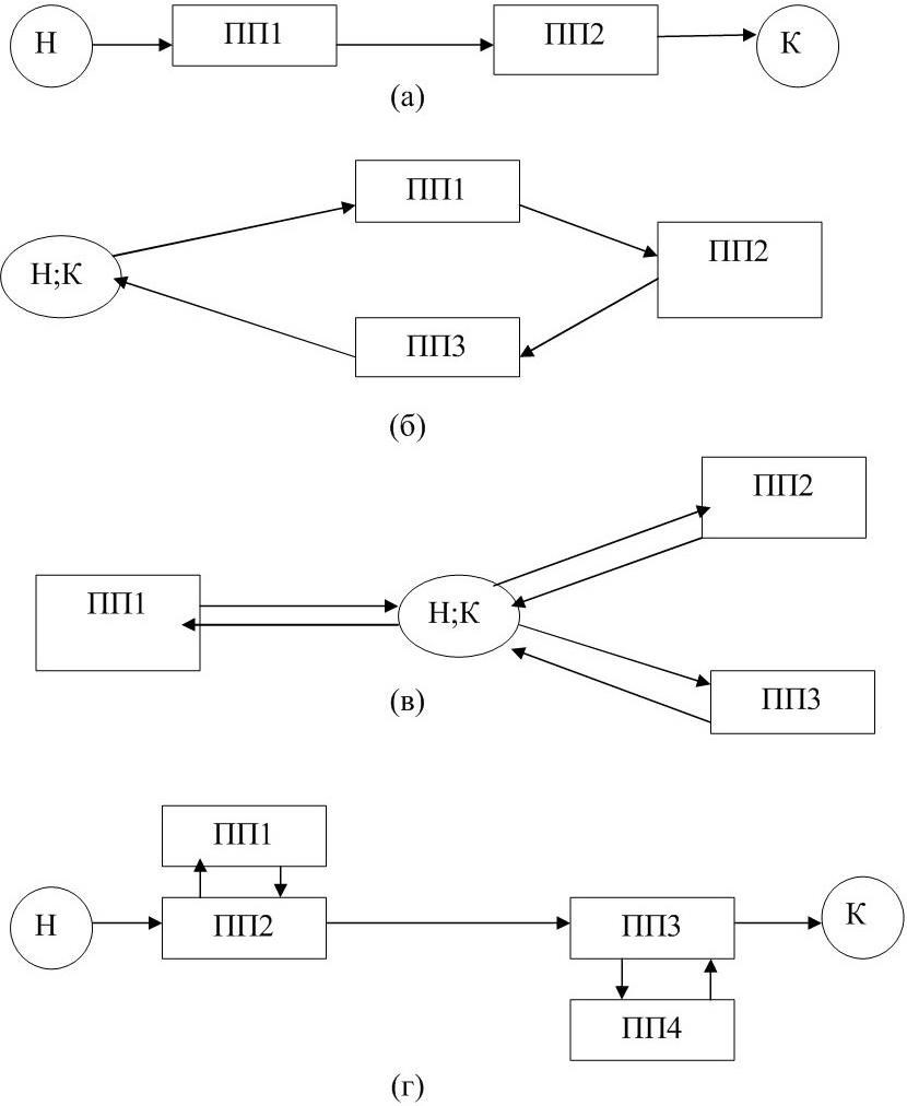
Туристский маршрут определяют как заранее спланированную трассу передвижения туристов в течение определенного периода времени с целью получения предусмотренных программой обслуживания и дополнительных туристско-экскурсионных услуг. В зависимости от перемещения по пути следования на маршруте различают линейные ,кольцевые, радиальные и комбинированные типы маршрутов.
Линейные маршрута – путь следования, начало и окончание которого происходят в разных географических пунктах пребывания. Является наиболее распространенной разновидностью туристского маршрута.
Радиальный маршрут – путь следования, начало и окончание которого происходят в одном географическом пункте пребывания, располагаясь в котром турист совершает путешествия в другие пункты пребывания, возвращаясь при этом в пункт начала путешествия.
Кольцевые маршруты – путь следования, начало и окончание которого происходят в одном географическом пункте пребывания. При этом место пребывания в страну или местность может быть:
1) неизменным, когда туристы, прибывая в страну, проходят только через один-два транзитных пункта;
2) отличным от места прибытия, когда турист прибывает в один туристский центр, а уезжает в первоначальный пункт из другого туристского центра.
На рисунке 1.3 типы туристских маршрутов представлены схематично (согласно Кускову А.С.).
По сезонности действия туристские маршруты подразделяются на круглогодичные, к которым относятся все виды маршрутов путешествий при наличии круглогодичного графика их действия, и сезонные, функционирующие в течение какого-либо сезона. По продолжительности путешествия маршруты подразделяются на многодневные (отпускные) и маршруты выходного дня.
Классификация туристских маршрутов по принадлежности транспорта: на собственном транспорте – туры на транспорте, принадлежащим транспортным хозяйствам турфирм; на арендованном специализированном транспорте – на транспорте, принадлежащим транспортным организациям, который турфирма использует на правах аренды на определенный срок; туры на транспорте общего пользования – туры на графиковом пассажирском транспорте; туры на личном транспорте туристов – специальные туры для владельцев автомобилей, с предоставлением пакета услуг, кроме перевозки.

а – линейны; б – кольцевой; в – радиальный; г – комбинированный; Н – начальная точка маршрута; К – конечная точка маршрута; ПП 1-4 – промежуточные точки маршрута
Рисунок 1.3 – Типы туристских маршрутов
По видам используемого транспорта туристские маршруты подразделяются:
1) теплоходные маршруты – на теплоходных речных и морских пароходств. Морские: круизные – более суток, экскурсионно-прогулочные – не более 24 часов. Речные: туристско-экскурсионные рейсы – более суток; экскурсионно-прогулочные – не более 24 часов;
2) авиационные туры: групповые – с использование части мест в самолетах пассажирских авиалиний; специальные авиарейсы – полная аренда воздушного судна для специальных туристских перевозок;
3) автобусные рейсы: туристско-экскурсионные – с предоставлением услуг проживания и питания, различных дополнительных услуг;
прогулочные – без предоставления основных и дополнительных услуг, при этом может использоваться городской транспорт;
4) железнодорожные туры: групповые путешествия – с использованием части мест в графиковых поездах; специализированные – арендованные составы с использованием мест в вагонах, как базы размещения на маршруте;
– комбинированные туры – путешествия с использованием двух и более видов транспорта.
9.3. Трансферы. Встреча и проводы туристов
Наземные службы в момент подготовки полета или по его завершению могут оказывать туристам различные услуги. Аэропорт обычно удален от места пребывания туристов, поэтому для повышения качества обслуживания в самом городе существует аэровокзал, где желающие могут купить билеты на авиарейсы. От аэровокзала в аэропорт следуют автобусы. Наземные услуги часто организовываются заказчиком-туроператором, однако реализуются они отдельными самостоятельными подразделениями, выполняющими указания туроператора. Это могут быть билетные кассы, услуги различных служб на аэровокзале, специальные организации, предоставляющие трансфер туристам. К трансферам относится любая перевозка туриста внутри туристического центра. Это может быть доставка с вокзала, из аэропорта или морского порта в гостиницу и обратно; с одного вокзала, аэро– или морского порта на другой; из гостиницы в театр, кино, музей и обратно. В трансферы некоторых компаний входит контроль за посадкой на рейс, прохождение таможни. Некоторые компании предоставляют услуги в VIP-залах аэропортов: внеочередное прохождение паспортного контроля и регистрации билетов, выдачу багажа, услуги сопровождающего и др.
К услугам наземных служб относятся:
1) ожидание и встреча туристов;
2) регистрация туристов и их багажа;
3) оформление формальностей, часто на выгодных в отличие от обычных условиях;
4) другие услуги.
Чем лучше развиты услуги трансфера, тем лучше впечатления останутся у туриста от поездки. Именно поэтому очень важно продумать маршрут и условия передвижения туристов, а также обеспечить комфорт такого передвижения.
Данный текст является ознакомительным фрагментом.
Продолжение на ЛитРес
8.1. Классификация предприятий, предоставляющих услуги по размещению туристов
8.1. Классификация предприятий, предоставляющих услуги по размещению туристов Средствами размещения туристов принято называть любые жилые объекты, которые по договоренности предоставляются туристам с целью ночевки. Предоставление средства размещения может быть
8.2. Технологическая схема обслуживания туристов в гостинице
8.2. Технологическая схема обслуживания туристов в гостинице Схему обслуживания туристов в гостинице можно представить, исходя из этапов и места обслуживания.Поэтапно обслуживание туристов в гостинице выглядит следующим образом:1) предварительный заказ мест в гостинице
8.6. Технология и организация питания туристов. Виды питания
8.6. Технология и организация питания туристов. Виды питания Услуги питания в туризме выступают как одни из главных, так как удовлетворяют физиологическую потребность туристов в пище. Однако процесс потребления пищи часто совпадает в туризме с процессом общения между
Глава 9. Транспортное обслуживание туристов
Глава 9. Транспортное обслуживание туристов 9.1. Классификация транспортных путешествий и транспортных средств Транспортные путешествия – это путешествия туристов (отдельно или группами) по путевкам на транспортных средствах разных видов по заранее утвержденным
Вот так встреча
Вот так встреча Утром в понедельник работать особенно не хотелось. Димыч сонно смотрел в окно, Санчес тупо пялился в монитор, но видел только мигающую сетку мелких пикселов и прилипшие пылинки. Чтобы хоть немного отвлечься, он спросил:– Димыч, а как ты с Аяной
Встреча в отеле
Встреча в отеле Санчес медленно поднялся по каменным ступенькам и оказался на открытой, украшенной резным деревом террасе роскошного отеля. В креслах сидели всего несколько человек, и только один из них подходил под выдуманный Санчесом образ Ивана Ивановича. Мужчина был
9.1. Классификация транспортных путешествий и транспортных средств
Транспортные путешествия – это путешествия туристов (отдельно или группами) по путевкам на транспортных средствах разных видов по заранее утвержденным маршрутам. Существует несколько классификаций транспортных путешествий по ряду основных признаков.
По типу маршрута выделяют следующие виды транспортных путешествий:
По виду транспорта выделяют следующие виды транспортных путешествий:
4) теплоход, паром, яхта, лодка;
5) мотоцикл, велосипед;
6) воздушный шар, дельтаплан.
По сезонности выделяют следующие виды транспортных путешествий:
По виду трассы маршрута выделяют следующие виды транспортных путешествий:
По продолжительности путешествия выделяют следующие виды транспортных путешествий:
На практике транспортные путешествия, как правило, совмещают несколько видов транспорта. Например, путешествие может проходить на поезде и автобусе.
Существует классификация средств транспорта, разработанная в соответствии с Рекомендациями по статистике туризма, разработанными ВТО.
Согласно названным Рекомендациям воздушный транспорт включает:
1) рейсы, подчиняющиеся расписанию;
2) рейсы, не подчиняющиеся расписанию;
3) прочие воздушные перевозки.
Водный транспорт включает круизы, пассажирские перевозки и прочее.
Сухопутный транспорт, согласно Рекомендациям ВТО, включает:
1) железнодорожные средства передвижения;
2) автобусы и прочие автодорожные средства;
3) частные автомобили;
4) прокат автобусов и автомобилей;
5) прочие сухопутные средства передвижения.
При выборе средства передвижения турист может руководствоваться различными критериями. Основными из них являются: стоимость, скорость доставки до места назначения, комфорт и наличие условий для сна и отдыха, отсутствие шума, вибраций, уровень безопасности путешествия, условий перевозки багажа, условий питания, предоставляемые дополнительные услуги и другие условия, которые зависят от образа жизни и предпочтений отдельного туриста.
Главным критерием при выборе средства передвижения является безопасность путешествия. Поэтому туроператорам необходимо сообщить туристам, как и какие меры приняты для того, чтобы обеспечить пассажирам максимально безопасное путешествие.
Рассмотрим характеристики основных видов транспортных средств.
Железнодорожный транспорт. Основной сферой использования данного вида транспорта являются массовые перевозки пассажиров. Это могут быть междугородние, межрайонные и международные перевозки.
Автомобильный транспорт считается самым маневренным и удобным средством передвижения. Это обусловлено высокой скоростью передвижения, возможностью доставки непосредственно до места назначения, большой подвижностью и т. д. Автотранспорт обеспечивает перевозки пассажиров внутри районов, а также доставку пассажиров от вокзалов и аэропортов до гостиницы и обратно.
Воздушный транспорт. Большая роль этого вида транспорта связана с большим расстоянием и скоростью перевозок. Воздушный транспорт обеспечивает экономию времени.
Данный текст является ознакомительным фрагментом.
Продолжение на ЛитРес
9.4. Безопасность при транспортных путешествиях
9.4. Безопасность при транспортных путешествиях Рассмотрим требования безопасности на различных видах транспорта.Требования безопасности на железнодорожном транспорте. Перед отправлением проводится инструктаж по технике безопасности, согласно которому: вход в вагон
35 ДОГОВОР АРЕНДЫ ТРАНСПОРТНЫХ СРЕДСТВ
35 ДОГОВОР АРЕНДЫ ТРАНСПОРТНЫХ СРЕДСТВ Договор аренды транспортных средств является разновидностью договора аренды и делится на два вида исходя из его предмета: на договор аренды транспортных средств с экипажем и договор аренды транспортных средств без экипажа.Договор
Школа внетелесных путешествий
Школа внетелесных путешествий Если вы хотите глубже изучить феномен фазы на практике, то кроме книг и сайта вы можете посещать семинары и регулярные занятия Школы внетелесных путешествий – настоящего конвейера внетелесных переживаний и осознанных сновидений! Это
Читайте также:


